近日,366net必赢官网现代物理研究所杨文力教授负责的量子可积团队与香港大学、中国科学院精密测量与技术创新研究院、美国休斯顿大学及浙江大学在精确计算量子可积模型的谱函数领域取得重要成果。联合团队创新性建立了基于多标签分类的精确解算法体系,首次实现了任意相互作用强度下一维玻色气体谱函数全能量-动量空间的严格求解,并成功观测到其在谱边界处的奇异行为,从而在4000粒子尺度上检验了非线性Luttinger液体理论(NTLL)的理论预言,为一维强关联量子体系研究建立了新的理论方法。相关论文以“Exact spectral function of one-dimensional Bose gases”为题发表在National Science Review(《国家科学评论》),该杂志以“多标签分类算法解决一维强关联难题:一维玻色气体谱函数的精确计算”为题进行了相关报道(https://mp.weixin.qq.com/s/0zGoPVVYzwyxVPO132IrWQ)。

366net必赢官网现代物理研究所为论文第一单位。该研究得到了国家自然科学基金、彭桓武高能基础理论中心、陕西省青年创新团队、香港研究资助局以及中国科学院等多个机构的资助支持。
自Mott绝缘体-金属相变发现以来,量子强关联多体系统凭借其丰富的新奇物理现象已成为凝聚态物理的核心研究领域之一。随着超冷原子实验技术的突破性进展,低维强关联系统的理论与实验研究迎来了新的发展高潮。理解量子多体系统的关键突破口在于精确表征其关联函数特性。然而,强关联系统因缺乏有效的单粒子图像,导致传统的微扰理论方法面临根本性挑战。在此背景下,具有严格解的量子可积系统成为理解强关联物理重要的手段。
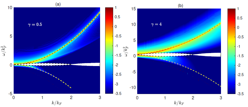
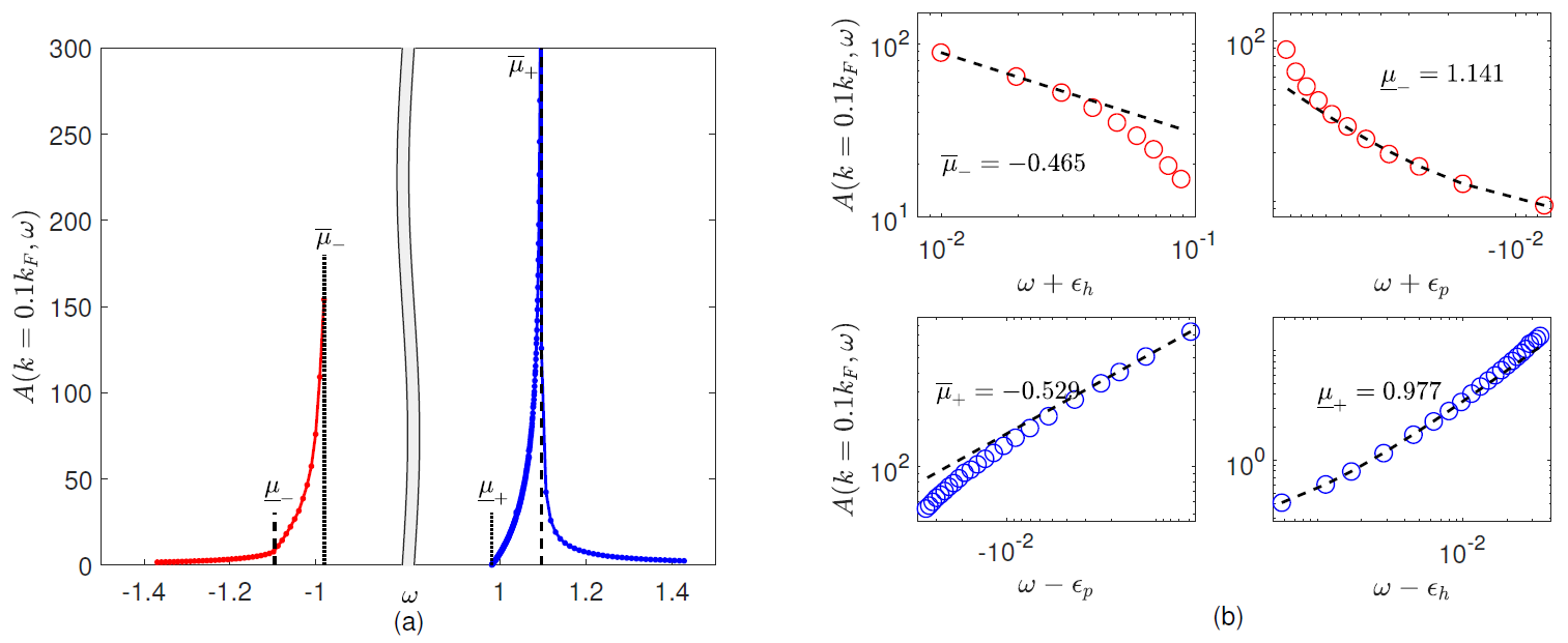
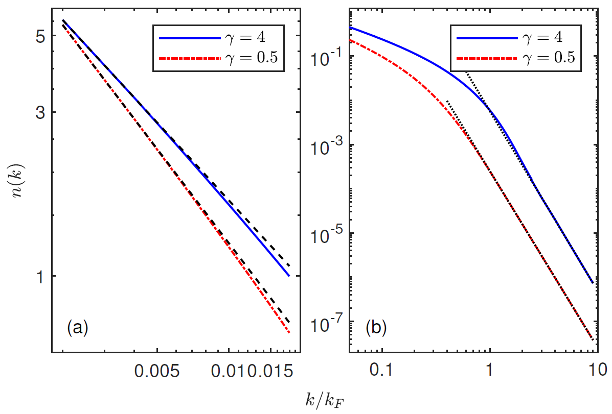
研究团队基于Bethe ansatz精确解方法,原创性地提出“相对激发”的概念,从而成功地将基态、有限温平衡态和非平衡稳态纳入统一的处理框架。通过引入四个有明确物理意义的量子数(Pm,Np,Pl,Nl)作为希尔伯特空间子空间的标签,将无限维希尔伯特空间分割成一系列有限维子空间,极大地提高了计算效率。利用这一方法,团队首先精确计算了一维玻色气体在动量-能量平面上的完整谱函数,如图1所示。尤其值得注意的是,研究通过观察谱函数的线形,在4000个粒子的巨大系统尺寸下成功捕捉到谱函数在谱边界上的普适幂律行为,也首次证实了NTLL理论在大尺寸系统中的自然涌现。如图2的拟合结果显示,四个临界指数(-0.465, 1.141, -0.529,0.977)与NTLL的预言(-0.422, 0.934, -0.501, 1.043)高度一致。这是量子可积模型的研究中首次清晰观测并定量证实了NTLL理论的正确性和适用范围。此外,研究团队还计算了一维玻色气体的动量分布函数,并在小动量和大动量区域分别观察到了线性TLL理论与Tan’s Contact的幂律行为,如图3所示。
此次关于一维玻色气体精确谱函数的研究成果,为量子多体系统的研究注入了新的活力,也为未来的实验观测和理论探索开辟了新的方向。

图1:动量-能量空间下谱函数等高线图,颜色越高亮,则谱权重越高。左图,弱相互作用,γ=0.5; 右图,中等相互作用,γ=4.0。

图2:(a) 中等强度(γ=4.0)下, k=0.1kF的谱函数随能量变化的曲线。黑色虚线和点线分别标示了I型和II型激发谱的边界。(b) 谱函数在四个边界附近的幂律行为。红色和蓝色圆圈表示计算结果,黑色虚线代表拟合的幂律曲线。

图3:动量分布,(a) 小动量区,n(k)∝kα。黑色虚线显示拟合斜率α为-0.750 (γ=4.0)和-0.908 (γ=0.5),符合线性Luttinger液体理论预言-0.737和-0.894。(b) 大动量区,n(k)∝k-4。黑色虚线展示拟合斜率为-4.073 (γ=4.0)和-4.001 (γ=0.5),完美符合接触相互作用系统的普适规律——Tan’s Contact。
原文链接:
https://academic.oup.com/nsr/article/12/9/nwaf294/8209836