近日,必赢张春梅教授与合作者从理论上厘清了常规反铁磁和交错磁的奈尔矢量与对称性之间的关系,提出光致局域自旋扭转这一隐藏模式,并指出这一过程可以有效地用于区分常规反铁磁和交错磁这两类行为相似的磁性体系。该研究成果以“Contrasting Light-Induced Spin Torque in Antiferromagnetic and Altermagnetic Systems”为题发表在物理学期刊Physical Review Letters上。张春梅教授和西安交通大学周健教授为共同通讯作者。该工作得到了国家自然科学基金面上项目(项目号:12374065, 12274342)的支持。

文章链接:https://journals.aps.org/prl/abstract/10.1103/PhysRevLett.134.176902
磁性材料在自旋电子学及其应用中占据重要的地位。除了传统的铁磁体系外,反铁磁体系由于其可以提供超快自旋动力学、更精确的调控方案、没有漏磁场、不易被外磁场所干扰等特性,近年来获得了凝聚态物理和材料物理领域广泛的关注。然而由于反铁磁体系没有净磁矩,如何有效探测和调控其序参量——奈尔矢量——是反铁磁自旋电子学中重要的科学问题之一。另一方面,为了互补反铁磁和铁磁的各自优势,近年来人们提出了另一类非常规反铁磁体——交错磁体。与常规反铁磁体不同的是,它具有非相对论性自旋劈裂,从而在输运特征上可以展现新的行为。然而,这些输运行为并非交错磁体的充分条件。因此,如何探索新的探测和调控手段,例如从自旋电子学方面区分常规反铁磁和交错磁体,是凝聚态物理中另一个尚未解决的前沿课题。
研究团队指出解决这一问题的关键在于如何从理论上厘清常规反铁磁和交错磁的奈尔矢量与对称性之间的关系。他们提出光致局域自旋扭转这一隐藏模式可以有效地用于区分这两类行为相似的磁性体系。通过对全部122个磁点群进行分类整理,他们列举出常规反铁磁和交错磁体所从属的磁群,并推导了其序参量奈尔矢量所遵从的磁子群。最终指出在线偏振光照下,前者可以发生奈尔矢量扭转(Neel torque),而后者同时伴随自旋倾斜(spin canting)。与之前讨论的输运行为不同的是,这一光诱导自旋扭转的隐藏模式是充分必要条件,可以同时用于区分常规反铁磁、交错磁、非磁体系(图1)。在以上对称性理论指导下,他们通过低能哈密顿模型和第一性原理计算,揭示了这一过程中相对论效应的作用,并指出中等强度光照可诱导约0.01μB的局域磁矩,达到实验可探测的精度,为实验上诱导和区分它们奠定了理论和计算基础。

图1 (a)本征状态以及光照下(b)常规反铁磁(c)交错磁自旋扭转隐藏模式示意图。
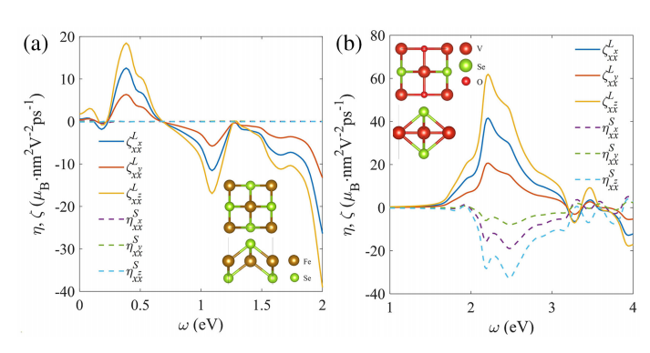
密度泛函理论可以进一步验证该理论。如图2所示,线偏振光在反铁磁单层FeSe(图2a)和交错磁V2Se2O单层(图2b)中皆诱导出有限大小的奈尔矢量扭转ζ,然而线偏振光在反铁磁单层FeSe(图2a)和交错磁V2Se2O单层(图2b)中诱导的自旋扭矩η分别为0和非0。因此可以作为区分反铁磁和交错磁的有效手段。

图2 (a)反铁磁单层FeSe中光致自旋和奈尔矢量扭转和(b)交错磁V2Se2O单层中光致自旋和奈尔矢量扭转。球坐标系下等效奈尔矢量的方向为θn =0.204π and ϕn = 0.148π。